-
技术专区
-
罗氏线圈电压计算:公式原理与工程应用解析
发布:西安普科科技浏览次数:一、罗氏线圈电压计算核心公式
罗氏线圈(Rogowski Coil)作为一种空心式电流传感器,其输出电压与被测电流的变化率直接相关,核心计算公式如下:

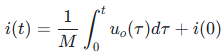
若需通过输出电压反推被测电流,需对电压信号积分,得到电流表达式:

其中,i(0)为电流初始值(稳态测量中通常为 0),M为罗氏线圈与被测导体间的互感系数,是决定测量精度的关键参数。

二、公式核心参数深度解析
互感系数M的物理意义与计算
互感系数M反映线圈与被测电流之间的磁耦合强度,其理论计算公式为:

μ0:真空磁导率(常量,4π×10−7H/m);
N:线圈总匝数(需均匀缠绕,无漏磁设计);
A:线圈横截面面积(单位:m2);
l:线圈平均磁路长度(单位:m,对于环形线圈,l=2πr,r为线圈平均半径)。
工程要点:实际应用中,M需通过校准确定(而非纯理论计算),因为线圈缠绕精度、骨架材质等会引入误差,校准方法通常是通入标准正弦电流,测量输出电压以反推实际互感。
2. 输出电压uo(t)的特性
uo(t)是线圈两端的感应电动势,具有以下特点:
相位:超前被测电流90∘(因与电流变化率成正比);
幅值:与电流频率成正比

波形:若被测电流为非正弦波(如脉冲、谐波),输出电压可精准反映其变化趋势,无磁饱和失真(空心结构优势)。
三、公式应用的关键前提与实操注意
1. 互感系数的稳定性保障
线圈缠绕:需采用均匀绕制工艺,避免匝数分布不均导致局部磁路异常,影响M的一致性;
安装条件:被测导体需穿过线圈中心轴线,且与线圈平面垂直,否则会因耦合系数降低导致M偏小,测量结果偏低;
环境影响:远离强磁场干扰源(如变压器、电磁铁),避免外部磁场叠加改变线圈磁通量,同时避免高温、振动导致线圈骨架变形,影响M稳定性。
2. 积分环节的工程实现
由于罗氏线圈输出的是电流的微分信号,需通过积分电路还原被测电流,积分方式的选择直接影响测量精度:
无源积分:结构简单(电阻 + 电容),但低频特性差,适用于高频电流测量(如雷击脉冲电流);
有源积分:采用运算放大器构成积分电路,可通过反馈电阻补偿漂移,低频响应好,适用于工频、低频及宽频带电流测量(如电力系统谐波监测);
积分精度:需保证积分电路的时间常数τ与线圈参数匹配(通常τ≫1/ωmin,ωmin为被测电流最低角频率),避免积分失真。
3. 误差来源与修正
理论误差:公式基于 “理想线圈” 假设(无电阻、无分布电容),实际线圈的串联电阻Rs和分布电容Cd会引入附加阻抗,需在电路中串联匹配电阻或并联补偿电容修正;
动态误差:当被测电流变化率极大(如陡脉冲电流),线圈的暂态响应会影响输出电压的跟随性,需选用带宽足够的线圈(通常要求带宽覆盖10Hz∼1MHz及以上);
校准修正:定期用标准电流源对整套测量系统(线圈 + 积分电路)进行校准,建立Uo−I校准曲线,修正实际测量中的系统误差。
四、公式的典型应用场景
电力系统:工频电流监测、谐波分析、故障电流录波(如短路电流测量),利用其无磁饱和、响应快的优势,避免铁芯传感器的非线性失真;
工业测量:变频器输出电流检测、电机启动电流监测,适应非正弦电流波形的精准测量;
科研实验:脉冲电流测量(如激光脉冲电源、等离子体放电电流)、高频电流监测(如射频设备电流),宽频带特性满足复杂波形测量需求;
新能源领域:光伏逆变器、储能系统的电流监测,抗电磁干扰能力强,适配新能源设备的复杂工况。
以上内容由普科科技/PRBTEK整理分享, 西安普科电子科技有限公司致力于示波器测试附件配件研发、生产、销售,涵盖产品包含电流探头、差分探头、高压探头、无源探头、罗氏线圈、电流互感器、射频测试线缆及测试附件线等。旨在为用户提供高品质的探头附件,打造探头附件国产化知名品牌。更多信息,欢迎登陆官方网站进行咨询:https://www.prbtek.cn/
2025-11-13相关仪器




